Applies To
Excel for Microsoft 365 Excel for Microsoft 365 for Mac Excel for the web Excel 2024 Excel 2024 for Mac Excel 2021 Excel 2021 for Mac Excel 2019 Excel 2016

Estimates variance based on a sample (ignores logical values and text in the sample).

Syntax

VAR.S(number1,[number2],...)

The VAR.S function syntax has the following arguments:

  • Number1     Required. The first number argument corresponding to a sample of a population.

  • Number2, ...     Optional. Number arguments 2 to 254 corresponding to a sample of a population.

Remarks

  • VAR.S assumes that its arguments are a sample of the population. If your data represents the entire population, then compute the variance by using VAR.P.

  • Arguments can either be numbers or names, arrays, or references that contain numbers.

  • Logical values, and text representations of numbers that you type directly into the list of arguments are counted.

  • If an argument is an array or reference, only numbers in that array or reference are counted. Empty cells, logical values, text, or error values in the array or reference are ignored.

  • Arguments that are error values or text that cannot be translated into numbers cause errors.

  • If you want to include logical values and text representations of numbers in a reference as part of the calculation, use the VARA function.

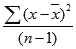
  • VAR.S uses the following formula:

    Formula

    where x is the sample mean AVERAGE(number1,number2,…) and n is the sample size.

Example

Copy the example data in the following table, and paste it in cell A1 of a new Excel worksheet. For formulas to show results, select them, press F2, and then press Enter. If you need to, you can adjust the column widths to see all the data.

Strength

1345

1301

1368

1322

1310

1370

1318

1350

1303

1299

Formula

Description

Result

=VAR.S(A2:A11)

Variance for the breaking strength of the tools, when the values in A2:A11 represent only a sample of all the data. VAR.S returns a different result than VAR.P, which treats the range of data as the entire population.

754.27

=VAR.P(A2:A11)

The variance based on the entire population, using the VAR.P function, returns a different result.

678.84

Need more help?

Want more options?

Explore subscription benefits, browse training courses, learn how to secure your device, and more.